2007年,科学界首次发现快速射电暴(Fast Radio Bursts, FRBs),这是一类神秘的宇宙无线电信号。它们持续时间极短,却能释放出惊人的能量,相当于太阳一天甚至一年的总释放量。这种极端的能量释放令天文学家们痴迷不已,不断推测其起源:它们是否来自超新星爆发?是否源于黑洞合并?又或者它们是否与“外星文明”有关?
随着研究的不断深入,脉冲极亮X射线源(Pulsing Ultra-Luminous X-ray sources,PULX)成为了科学家持续关注的潜在起源之一。它们隐藏在宇宙深处,是一类极其神秘的天体。令人惊叹的是,它们能够释放出超过理论极限的X射线能量。
那么,PULX会不会就是神秘的快速射电暴(FRB)的“源头”?带着这个大胆的疑问,我们团队(中国科学院新疆天文台脉冲星团组)联合国内外科研团队展开了一场“沉默猎手”的搜寻之旅。近期,相关研究成果发表在《天体物理学杂志》上。
FAST出动:静默中搜寻“暴风”
PLUX是什么?为什么我们猜测它可能是FRB的起源呢?实际上,它是一种具有超强X射线辐射能力的致密双星系统,由中子星和它的伴星组成。
中子星是大质量恒星超新星爆发后的残骸,其质量通常为1.4-2.0个太阳质量,但半径只有约10公里,是宇宙中最致密的天体之一。它主要由中子构成,内部密度可达10的17次方千克每立方米,相当于把整个珠穆朗玛峰压缩到方糖大小。由于极端的引力和磁场环境,中子星常常伴随高速自转和强烈的辐射输出。其超强的X射线亮度,提示可能存在“超Eddington吸积”的奇特现象,即超过Eddington吸积极限(辐射压力与引力达到平衡时的最大稳定吸积速率)。
所以,我们从PLUX的极端磁场与等离子体环境、物质的堆积与突然释放、高能环境触发机制以及与FRB的观测一致性等几方面猜测PLUX可能是FRB尤其是重复FRB的源头。

PULX产生FRB的示意图
(图片来源:参考文献[1])
为了验证PULX是否真是FRB的制造者,我们团队展开了一场宇宙“侦探”行动,对8个典型的PULX系统进行了系统而深入的射电观测。
FAST(Five-hundred-meter Aperture Spherical Telescope),即“500米口径球面射电望远镜”,是中国建造的世界最大、最灵敏的单口径射电望远镜,被誉为“中国天眼”。它可以像捕捉宇宙风声一样,监听来自数十亿光年外的微弱电波,是研究脉冲星和快速射电暴的最佳工具之一。
我们利用FAST,并结合澳大利亚Parkes望远镜,覆盖了不同的轨道相位,希望捕捉到哪怕一次“短暂心跳”。使用“单脉冲搜索+周期搜索”的联合策略,我们在0–5000秒差距·每立方厘米的色散量范围内进行了全面搜索,结果却令人意外:这些PULX系统竟然没有发出任何明显的射电脉冲信号!
沉默中的启示:科学探索的另一种答案
尽管未能直接探测到信号,但这项研究却具有极高的科学价值。我们认为,这可能意味着即便PULX能产生FRB,但其频次极低,或者其激烈的吸积风(是指由高速吸积过程驱动的强烈物质外流,通常以高温等离子体形式从吸积盘向外喷射,速度可达上千公里每秒)、磁场环境使信号根本无法逃逸。
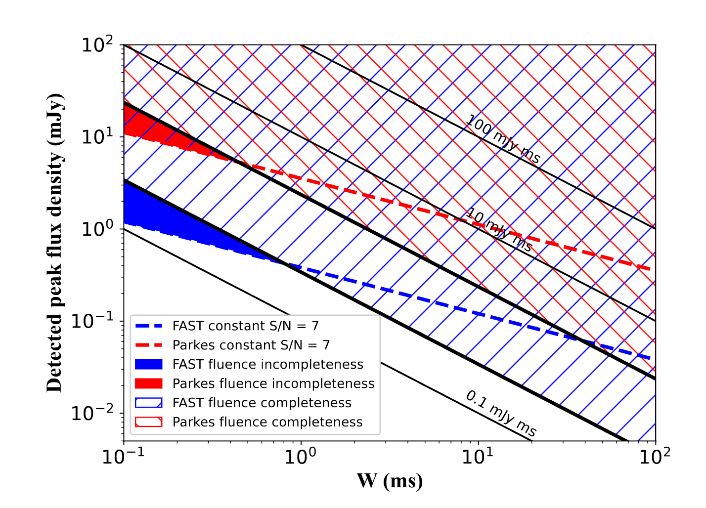
我们还给出了每个目标的射电流量密度上限,这一数值直接反映了仪器和观测的探测阈值,即在本次观测灵敏度下仍未探测到信号时,所能排除的最大可能信号强度。这对现有的PULX–FRB模型提出了严格的观测约束:结合观测灵敏度、时间覆盖率和理论预测,我们能够排除一部分参数范围(例如过高的爆发频率、过大的射电辐射功率),从而限制理论模型的可行空间。这项研究不仅为“FRB起源”划定了边界,也为“双星起源理论”提供了重要观测证据。

流量密度与脉冲宽度的参数空间
(图片来源:参考文献[2])
PULX和FRB的探索,不只是宇宙“谜题解锁”的一部分。在这些致密天体身上,我们能看到极端引力、强磁场和高能等离子体的复杂物理过程。它们是天文学、等离子体物理、广义相对论和引力波物理交汇的“天然实验室”。而FAST的强大探测能力,也正逐步揭示宇宙中越来越多“不为人知的低语”。
仰望星空,科学永不停歇
为揭开FRB神秘的面纱,我们团队正不懈努力,追寻来自遥远宇宙的微弱低语。这些毫秒级的强烈射电爆发,携带着宇宙中极端天体与时空环境的珍贵信息,尽管转瞬即逝,却能为我们照亮探寻宇宙未知的路。
未来,我们计划依托中国天眼FAST的超高灵敏度,并期待能够结合正在建设中的奇台射电望远镜(QiTai radio Telescope, QTT)——口径达110米、具备优异机动性和超强性能的射电望远镜,进一步增强对FRB的实时捕获与精细成像能力。它们将如同宇宙间的“耳朵”和“眼睛”,协同监听和定位来自数十亿光年之外的神秘脉冲信号。
这一探索不仅将推动我们理解FRB的起源机制,如磁星风暴、黑洞吸积、等离子体透镜等极端物理过程,也可能为暗能量分布、宇宙结构演化甚至新物理定律提供线索。每一个被捕捉的FRB信号,都是宇宙深处发来的“加密电报”,而每一次破译突破,都是人类对宇宙认知边界的推进。
参考文献
[1]Sridhar, Navin, et al. “Periodic fast radio bursts from luminous X-ray binaries.” The Astrophysical Journal 917.1 (2021): 13.
[2]Bai, Juntao, et al. “Search for Fast Radio Bursts and radio pulsars from pulsing Ultraluminous X-ray Sources.” The Astrophysical Journal 984.1 (2025): 33.




